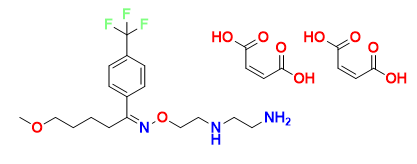
N-(Ethylamino) Fluvoxamine

1217262-11-7
Product Code Ax-9843
CAS Number 1217262-11-7
Molecular Formula C17H26F3N3O2; C8H8O8
Molecular Weight 361.41; 232.14
Synonyms (Z)-5-methoxy-1-(4-(trifluoromethyl)phenyl)pentan-1-one O-(2-((2-aminoethyl)amino)ethyl) oxime dimaleate; Fluvoxamine Impurity F
Purity >96%

Product Enquiry

CAPTCHA
This question is for testing whether or not you are a human visitor and to prevent automated spam submissions.
11 + 1 =
Solve this simple math problem and enter the result. E.g. for 1+3, enter 4.